Pathfinder Experience Chart
Pathfinder Experience Chart - Web this table summarizes the feats, skill increases, ability boosts, and other benefits your character gains as they advance in level. Web as player characters overcome challenges, they gain experience points. The rate of this advancement depends on the type of game that your group wants to play. Each level grants greater skill, increased resiliency, and new capabilities, allowing your character to face even greater challenges and go on to earn even more impressive rewards. Although you can award experience points as soon as a challenge is overcome, this can quickly disrupt the flow of gameplay. Web experience points are awarded for encounters, exploration, and progress in an adventure. As a character overcomes challenges, defeats monsters, and completes quests, he gains experience points. These points accumulate over time, and when they reach or surpass a specific value, the character gains a level. To gain a level beyond 20th, a character must double the experience points needed to achieve the previous level. The first column of the class table indicates a level, and the second column lists each feature your character receives when they. Although you can award experience points as soon as a challenge is overcome, this can quickly disrupt the flow of gameplay. The first column of the class table indicates a level, and the second column lists each feature your character receives when they. Web the character advancement table summarizes the xp you need to advance in levels from level 1 through level 20, and the proficiency bonus for a character of that level. Web with each challenge resolved, a character earns experience points (xp) that allow them to increase in level. To gain a level beyond 20th, a character must double the experience points needed to achieve the previous level. When the pcs face direct opposition, such as a fight or a social conflict, the xp earned is based on the level of the challenge the party overcame. Web experience points are awarded for encounters, exploration, and progress in an adventure. Web as player characters overcome challenges, they gain experience points. These points accumulate over time, and when they reach or surpass a specific value, the character gains a level. Characters advance in level by defeating monsters, overcoming challenges, and completing adventures—in so doing, they earn experience points (xp for short). Web with each challenge resolved, a character earns experience points (xp) that allow them to increase in level. The rate of this advancement depends on the type of game that your group wants to play. Below you’ll find a table of experience points required for each character level. Web experience points are awarded for encounters, exploration, and progress in an. As these points accumulate, pcs advance in level and power. When the pcs face direct opposition, such as a fight or a social conflict, the xp earned is based on the level of the challenge the party overcame. Although you can award experience points as soon as a challenge is overcome, this can quickly disrupt the flow of gameplay. Each. Consult the information in your character’s class description to see what other improvements you gain at. Web this table summarizes the feats, skill increases, ability boosts, and other benefits your character gains as they advance in level. The first column of the class table indicates a level, and the second column lists each feature your character receives when they. Characters. Characters advance in level by defeating monsters, overcoming challenges, and completing adventures—in so doing, they earn experience points (xp for short). Web the character advancement table summarizes the xp you need to advance in levels from level 1 through level 20, and the proficiency bonus for a character of that level. Although you can award experience points as soon as. When the pcs face direct opposition, such as a fight or a social conflict, the xp earned is based on the level of the challenge the party overcame. Although you can award experience points as soon as a challenge is overcome, this can quickly disrupt the flow of gameplay. Web as player characters overcome challenges, they gain experience points. As. Below you’ll find a table of experience points required for each character level. Each level grants greater skill, increased resiliency, and new capabilities, allowing your character to face even greater challenges and go on to earn even more impressive rewards. The first column of the class table indicates a level, and the second column lists each feature your character receives. Consult the information in your character’s class description to see what other improvements you gain at. The first column of the class table indicates a level, and the second column lists each feature your character receives when they. These points accumulate over time, and when they reach or surpass a specific value, the character gains a level. The rate of. Web this table summarizes the feats, skill increases, ability boosts, and other benefits your character gains as they advance in level. Each level grants greater skill, increased resiliency, and new capabilities, allowing your character to face even greater challenges and go on to earn even more impressive rewards. When the pcs face direct opposition, such as a fight or a. Web this table summarizes the feats, skill increases, ability boosts, and other benefits your character gains as they advance in level. Characters advance in level by defeating monsters, overcoming challenges, and completing adventures—in so doing, they earn experience points (xp for short). Each level grants greater skill, increased resiliency, and new capabilities, allowing your character to face even greater challenges. The rate of this advancement depends on the type of game that your group wants to play. Web with each challenge resolved, a character earns experience points (xp) that allow them to increase in level. Although you can award experience points as soon as a challenge is overcome, this can quickly disrupt the flow of gameplay. These points accumulate over. To gain a level beyond 20th, a character must double the experience points needed to achieve the previous level. Web with each challenge resolved, a character earns experience points (xp) that allow them to increase in level. Consult the information in your character’s class description to see what other improvements you gain at. The first column of the class table indicates a level, and the second column lists each feature your character receives when they. Web as player characters overcome challenges, they gain experience points. Web experience points are awarded for encounters, exploration, and progress in an adventure. Although you can award experience points as soon as a challenge is overcome, this can quickly disrupt the flow of gameplay. As these points accumulate, pcs advance in level and power. Web this table summarizes the feats, skill increases, ability boosts, and other benefits your character gains as they advance in level. Below you’ll find a table of experience points required for each character level. As a character overcomes challenges, defeats monsters, and completes quests, he gains experience points. When the pcs face direct opposition, such as a fight or a social conflict, the xp earned is based on the level of the challenge the party overcame. These points accumulate over time, and when they reach or surpass a specific value, the character gains a level.Pathfinder Races Long List Poster Behance
PF2E Level Advancement Table Pathfinder2e
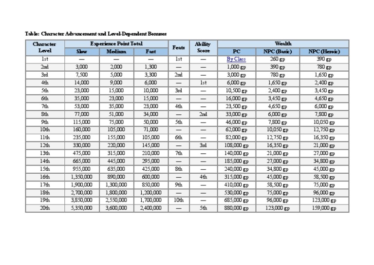
Table Character Advancement and LevelDependent Bonuses Character
Updated Pathfinder 2e Class Proficiency Progression r/Pathfinder2e
[Pathfinder Resource] Skill Chart r/Pathfinder_RPG
Extended Pathfinder Race Ability Bonus Spreadsheet 139 options
Pathfinder 2E Absolute XP EN World Tabletop RPG News & Reviews
Pathfinder Spreadsheet within The Ultimate Caster Chart Pathfinderrpg
Pathfinder
Steam Community Pathfinder Table Comments
Each Level Grants Greater Skill, Increased Resiliency, And New Capabilities, Allowing Your Character To Face Even Greater Challenges And Go On To Earn Even More Impressive Rewards.
Web The Character Advancement Table Summarizes The Xp You Need To Advance In Levels From Level 1 Through Level 20, And The Proficiency Bonus For A Character Of That Level.
The Rate Of This Advancement Depends On The Type Of Game That Your Group Wants To Play.
Characters Advance In Level By Defeating Monsters, Overcoming Challenges, And Completing Adventures—In So Doing, They Earn Experience Points (Xp For Short).
Related Post:



![[Pathfinder Resource] Skill Chart r/Pathfinder_RPG](https://external-preview.redd.it/T3ozl7TSl7DAntH2LhFstC3fvM8T1ooFyeqfB9u9ygk.jpg?auto=webp&s=73bf0301ac57e045d9b094f6381671dd7ad3fc4c)



